合作客戶/
拜耳公司 |
同濟大學 |
聯合大學 |
美國保潔 |
美國強生 |
瑞士羅氏 |
相關新聞Info
-
> 仲醇聚氧乙烯醚硫酸鹽平衡和動態表面張力及應用性能研究(三)
> 不動桿菌菌株XH-2產生物表面活性劑發酵條件、性質、成分研究(二)
> 水相PH、鹽濃度對380號燃料油油水界面張力的影響
> LiF-CaF?-Yb?O?熔鹽體系表面張力的測定及其對Ni-Yb合金電解的指導意義(二)
> 可視化實驗方法研究電場作用下液滴撞擊表面的動態行為(二)
> 不動桿菌菌株XH-2產生物表面活性劑發酵條件、性質、成分研究(一)
> Delta-8 動物胃腸道體內中藥物的溶解度的測定——結論、工具書類!
> 表面活性劑是否對斥水性土壤的潤濕性有影響?——概括、介紹
> 黃原膠對泡沫溶液泡沫性能、表面張力的影響(三)
> 納米滲吸驅油劑種類、降低界面張力和改變潤濕性的能力等機理研究(三)
推薦新聞Info
-
> 二甲亞砜與二甲苯異構體混合物的體積收縮與表面張力降低效應(二)
> 二甲亞砜與二甲苯異構體混合物的體積收縮與表面張力降低效應(一)
> 表面能與表面張力對凍干制劑中“小瓶霧化”現象的影響機制研究
> 新型懸滴實驗系統的研制與二甲基亞砜/甲醇混合物表面張力測量(二)
> 新型懸滴實驗系統的研制與二甲基亞砜/甲醇混合物表面張力測量(一)
> 噻噸酮光敏劑體系:光電轉換與顯色特性的深度解析
> 溫度、締合強度、截斷半徑對球形空腔中締合流體界面張力的影響(二)
> 溫度、締合強度、截斷半徑對球形空腔中締合流體界面張力的影響(一)
> 一文讀懂什么是超微量天平
> LiF-CaF?-Yb?O?熔鹽體系表面張力的測定及其對Ni-Yb合金電解的指導意義(二)
甜菜堿表面活性劑TAC制備方法及表面張力測定(一)
來源:精細化工 瀏覽 708 次 發布時間:2025-05-26
摘要
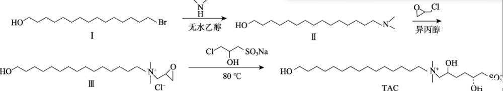
以15-溴-1-十五醇、二甲胺水溶液、環氧氯丙烷和3-氯-2-羥基丙磺酸鈉為原料,通過季銨化反應和開環反應制備了甜菜堿表面活性劑(TAC),采用FTIR、HNMR、CNMR、MS對其結構進行了表征。將TAC添加至稠化酸(SY)中制備了SY-x-TAC(x為TAC添加量,以SY質量的計,取值為0.2%~1.0%,下同)。通過表面張力儀、電導率儀、黏度計、流變儀、SEM對其進行了測試,考察了TAC添加量對SY-x-TAC耐溫性和抗剪切性能的影響。結果表明,298.15 K下,TAC最低臨界膠束濃度(CMC)為0.116 mmol/L。SY-0.4%-TAC的耐溫、耐剪切性能顯著提高,升溫至180℃時其溶液表觀黏度和繼續剪切1 h后溶液的最終表觀黏度分別為80.85和75.48 mPa·s,比SY(48.01和42.52 mPa·s)分別提高了68.40%和77.52%。在應力掃描范圍內,SY-0.4%-TAC和SY-0.6%-TAC存在明顯的線性黏彈區,表現為彈性體,體系空間結構為更緊密的網狀結構。SY的疏水基團與TAC的疏水尾端相互作用,形成混合膠束。疏水基團被包裹在膠束內部,TAC的親水基團代替SY的親水鏈,實現分子間締合,表現出良好的協同效應。
目前,中國致力于深井、超深井和低滲、超低滲致密油氣方向的大規模勘探開發。酸化壓裂是提高油氣井產量的有效方法之一。而原針對160℃以下儲層的交聯酸體系已不能滿足超過180℃的高溫地層,因此,交聯酸體系的應用仍需要深入探究。
交聯劑、稠化劑和緩蝕劑是交聯酸體系的3個重要組成部分。交聯劑的加入不僅可以降低稠化劑的用量,還可提高稠化酸的彈性及黏度,減少對地層的傷害。因此,交聯劑種類的選擇至關重要。金屬交聯劑是使用較多的傳統交聯劑,它通過配位交聯增加分子間剛性,進而影響耐溫性能。但是金屬交聯劑易受pH影響,含有的金屬元素對地層污染較大。表面活性劑作為交聯劑,通過與聚合物分子間形成化學共價鍵實現物理交聯,這種交聯具有自修復能力,因此耐溫性能得到改善,并可大幅降低對地層的污染。在高溫油藏環境下,疏水締合聚合物由于同時具備良好的耐溫抗鹽以及抗剪切性能,而被廣泛研究和應用。甜菜堿表面活性劑的耐溫抗鹽性能、溶解性及穩定性良好,是一種優良的驅油劑,且長鏈的甜菜堿表面活性劑可形成蠕蟲狀膠束,促進分子間締合,增加締合連接數,從而增大黏度,增強稠化酸耐溫、耐剪切性能。
本文擬以15-溴-1-十五醇、二甲胺水溶液、環氧氯丙烷、3-氯-2-羥基丙磺酸鈉為原料,通過季銨化反應和開環反應制備了甜菜堿表面活性劑(TAC)。通過聚合物和表面活性劑分子的疏水單元組成的混合膠束與聚合物主鏈發生物理交聯,從而產生擴展的聚合物網絡,以期改善稠化酸的耐溫、耐剪切性能,提高180℃高溫地層的油氣采收率。
1實驗部分
1.1試劑與儀器
濃鹽酸(質量分數36%)、15-溴-1-十五醇、二甲胺水溶液(質量分數40%)、無水乙醇、環氧氯丙烷、3-氯-2-羥基丙磺酸鈉、異丙醇、NaHCO 3、氯仿,AR,國藥集團化學試劑有限公司;酸液稠化劑SY-2,自制。
IRAffinity-1型傅里葉變換紅外光譜儀(FTIR),日本Shimadzu公司;AVANCE NEO 600 MHz型核磁共振波譜儀(NMR),德國Bruker公司;LN11-ZNN-D6B型六速黏度計,北京海富達科技有限公司;SEM 3200型掃描電子顯微鏡(SEM),國儀量子科技有限公司;HAKKE MARSⅣ型流變儀,美國Thermo Fisher Scientific公司;Delta-8全自動高通量表面張力儀,芬蘭Kibron公司;RT1906A型電導率儀,北京磐研科技有限公司。





