合作客戶/
拜耳公司 |
同濟大學 |
聯合大學 |
美國保潔 |
美國強生 |
瑞士羅氏 |
相關新聞Info
-
> 討論:長期用洗潔精洗過的碗筷安全嗎?
> 細胞表面PH對于生物多肽生物活化的潛在重要性——摘要、介紹、材料和方法
> 細胞表面PH對于生物多肽生物活化的潛在重要性——結果和討論、結論、致謝!
> 石墨烯與磷脂之間的作用——結論、致謝!
> 不同濃度/溫度下陰離子表面活性劑SDS和SDBS溶液表面張力的變化
> 生物降解過程中對于表面活性劑AS、AE的表面活性以及水生生物毒性的性能的關系——摘要、簡介
> 葡萄酒的眼淚形成原因究竟是什么呢?
> 不同組元活性劑對不銹鋼脈沖TIG焊熔池表面張力的影響
> 表面活性劑溶液動態表面張力與印染加工應用的關系
> 陽離子、陰離子的界面潤濕行為——結果和討論
推薦新聞Info
-
> 二甲亞砜與二甲苯異構體混合物的體積收縮與表面張力降低效應(二)
> 二甲亞砜與二甲苯異構體混合物的體積收縮與表面張力降低效應(一)
> 表面能與表面張力對凍干制劑中“小瓶霧化”現象的影響機制研究
> 新型懸滴實驗系統的研制與二甲基亞砜/甲醇混合物表面張力測量(二)
> 新型懸滴實驗系統的研制與二甲基亞砜/甲醇混合物表面張力測量(一)
> 噻噸酮光敏劑體系:光電轉換與顯色特性的深度解析
> 溫度、締合強度、截斷半徑對球形空腔中締合流體界面張力的影響(二)
> 溫度、締合強度、截斷半徑對球形空腔中締合流體界面張力的影響(一)
> 一文讀懂什么是超微量天平
> LiF-CaF?-Yb?O?熔鹽體系表面張力的測定及其對Ni-Yb合金電解的指導意義(二)
海洋細菌中生物表面活性物質——結果和討論
來源:上海謂載 瀏覽 1882 次 發布時間:2021-10-19
結果和討論
篩選 SAC 生產商
SAC 生產的篩選包括 84 種新的烴降解分離株和 93 株來自挪威漁業科學學院 (NCFS) 的培養物保藏中心。 所有分離株均在補充有 1% 葡萄糖或煤油作為唯一碳源的 MBH 培養基中篩選。 在測試的所有分離株中,100 個分離株在至少一項定性篩選試驗(光學變形、油擴散或乳化試驗)中顯示出陽性結果。
對于 SAC 生產的定量評估,確定了表面張力和乳化活性。 良好的生物表面活性劑應能夠將水或培養基的表面張力降低 ≥20 mN m-1 [13] 或 ≥40 mN m-1。[18] 良好的生物乳化劑的 EV24 值應高于 50%。 19] 在 100 個陽性分離株中,只有 4 個菌株能夠將培養基的表面張力從 72 mN m-1 的未接種培養基降低至少 20 mN m-1(表 1)。 沒有一株分離株的 EV24 值高于 50%,但其中 18 株的 EV24 值≥19%(表 1)。 我們研究中的培養溫度為 13°C,低于之前研究中使用的溫度(28°C),[14,20] 可能影響了受試菌株的乳化活性。 因此,在 13°C 下 EV24 值≥20% 的分離株在 20°C 下培養。 結果證實,較低的生長溫度導致測試培養物的較低乳化活性。 11 個分離株中有 10 個在 20°C 下顯示出 EV24 >40%(表 1)。
表 1. 在葡萄糖和煤油上生長的細菌菌株的培養物和培養物濾液的表面張力和乳化值。
16S rRNA基因測序分析
通過 16S rRNA 基因序列分析對具有顯著 SAC 活性的 18 個分離株進行分類鑒定(表 2)。 紅球菌除外。 菌株 LF-13 和紅球菌屬。 在菌株 LF-22 中,大多數鑒定的 SAC 生產者是革蘭氏陰性菌,屬于 γ-變形菌綱。 也有報道稱 γ-變形菌在寒冷海洋地區的石油污染地點占優勢。 [21-24] 先前對石油污染地點的研究表明,假單胞菌、假交替單胞菌、冰川、海藻和紅球菌是極地、海洋區域。[21,22,25-28]
表 2. 選定的 SAC 產生的分類從屬關系 基于 16S rRNA 基因測序的細菌。
已對假單胞菌屬的代表產生鼠李糖脂 [29,30] 和脂肽 [31-33] 和其他高分子量生物乳化劑的能力進行了深入研究。 [34,35] 紅球菌屬以其產生鼠李糖脂的能力而聞名。 [36-38] 具有 SAC 活性的胞外多糖 (EPS) 已被證明是由從海洋環境中分離出來的假交替單胞菌屬的幾個成員分泌的。[39-42] 耐冷假交替單胞菌屬。 從海冰樣品中分離出的菌株 CAM025 在 -2 和 10°C 下的 EPS 產量是 20°C 下的 30 倍。 [41] 松山等人。 [43] 描述了兩種菌株 Glaciecola chathamensis 的 S18K6T 和 S18K5 菌株產生 EPS 的能力。 據我們所知,迄今為止,尚未確定 Psychromonas 和 Marinomonas 屬的成員能夠產生 SAC。 因此,目前的分離株是產生 SAC 的分類群列表的補充。
生物表面活性劑生產
基質
兩種細菌菌株紅球菌屬。 菌株 LF-13 和紅球菌屬。 當以煤油作為唯一碳源和能源時,菌株 LF-22 能夠將培養基的表面張力降低約 40 mN m-1。 因此,它們被選擇用于進一步表征生物表面活性劑的生產。 為了拓寬生物表面活性劑生產的底物范圍,測試了除煤油和葡萄糖之外的其他碳源(表 3)。 這兩種菌株可以在葡萄糖上生長,但不合成生物表面活性劑。 他們能夠在正十六烷和菜籽油上產生 SAC,即使菜籽油不支持菌株 LF-22 的生長。
表 3. 所選培養物中的生長和表面張力 不同碳源上的細菌分離物 (1% w/w)。
生長細胞的生物表面活性劑生產
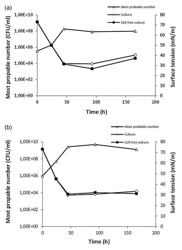
菌株紅球菌屬。 菌株 LF-13 和紅球菌屬。 大約 2 天后,菌株 LF-22 達到穩定期(圖 1)。 LF-13 和 LF-22 的培養物表面張力的最低值分別為 31.8 和 29.3 mN m-1,當培養物達到穩定期時(圖 1)。 無細胞制劑的值顯示出與培養物類似的降低,表明生物表面活性劑被釋放到培養基中。 從工業角度來看,將生物表面活性劑分泌到培養基中的分離物很有趣,因為這使得生物表面活性劑的純化過程更簡單。 [16,44,45]
圖 1. (A) 紅球菌屬的生長曲線和表面張力降低曲線。 菌株LF-13; (B) 紅球菌屬。 菌株LF-22; 在以 2% 煤油為碳源的 MBH 中培養,20°C,160 rpm。 結果代表三個獨立實驗的平均值。
靜息細胞產生生物表面活性劑
為了確定生物表面活性劑的合成是否與石油烴上的細菌生長有關,在磷酸鹽緩沖液和煤油中對兩種菌株 LF-13 和 LF-22 進行了靜息細胞實驗。 紅球菌屬的細胞懸液和無細胞培養濾液的表面張力。 LF-13 和紅球菌屬。 LF-22 靜息細胞在培養 2 天后顯示出顯著減少,從 72 到 26 mN m-1(圖 2)。 結果表明,紅球菌菌株中的生物表面活性劑合成發生在煤油存在下,但不一定與煤油上的細菌生長有關。
圖 2. (A) 紅球菌屬的表面張力降低。 菌株LF-13; (B):紅球菌屬。 LF-22 菌株,在靜息細胞條件下,含 2% (w/w) 煤油,有限氮源,20°C 和 160 rpm。 結果代表三個獨立實驗的平均值。
生物表面活性劑粗提物的產量約為 1.2–1.5 g/g 干燥靜息細胞。 對于紅球菌 erythropolis 菌株 DSM 43215 [46] 和菌株 SD-74 [36],已經建議通過靜息細胞以比生長細胞更高的產量生產生物表面活性劑。 根據 Kitamoto 等人的建議,使用南極假絲酵母的靜息細胞連續生產甘露糖赤蘚糖醇脂質。 [47] 估計與生長細胞的生產相比具有更低的成本。
粗生物表面活性劑的CMC
如材料和方法部分所述,使用 MTBE 從兩種紅球菌屬菌株的靜息細胞培養物中提取生物表面活性劑。 提取的生物表面活性劑用于測定CMC濃度。 來自菌株 LF-13 的生物表面活性劑的 CMC 約為 217 mg/L,菌株 LF-22 的 CMC 約為 269 mg/L(圖 3)。
圖 3. 從紅球菌屬靜止細胞中提取的 SAC 的 CMC。 LF-13 和紅球菌屬。 LF-22。
增強正十六烷的生物降解
樣品 2,僅包含含有正十六烷和來自紅球菌屬的生物表面活性劑的海水。 LF-22 沒有顯示出光密度 (OD) 的任何增加。 在 13°C 孵育 17 天后,樣品中正十六烷的量為初始量的 78.4%,略低于對照樣品(樣品 1)的 86.5%(表 4)。 由于海水經過高壓滅菌,我們預計樣品 2 中的正十六烷不會發生任何生物降解。實驗期間表面張力沒有變化,表明添加的生物表面活性劑在海水中保持完整。
表 4. 正十六烷生物降解試驗中的細菌生長、表面張力和正十六烷殘留量(結果為兩次重復的平均值)。
用耶氏酵母的混合培養物 LS-DO 修正的樣品 3 顯示測得的 OD 增加了約 3 倍,表明酵母在正十六烷上生長。 17 天后,樣品中殘留的正十六烷含量為 61%(表 4)。
用酵母和生物表面活性劑修飾的樣品 4 表現出最高的 OD 增加,即與起始值相比增加了 4.4 倍,表明酵母在生物表面活性劑存在下生長得更快(表 4)。 正十六烷的降解率從用酵母修正時的 12 毫克/天增加到酵母和生物表面活性劑同時存在時的 30 毫克/天。 在生物表面活性劑存在下 17 天后,正十六烷耗盡。





