合作客戶/
拜耳公司 |
同濟大學 |
聯合大學 |
美國保潔 |
美國強生 |
瑞士羅氏 |
相關新聞Info
-
> 烷基糖苷檸檬酸單酯二鈉鹽水溶液的動態表面張力測定及影響因素(下)
> 混合型生物洗油菌發酵上清液的表面張力值測定(二)
> 膽汁酸通過改變肺泡表面張力調節呼吸功能的機制研究——討論、結論、展望
> 含氟聚氨酯超疏水涂層表面性能、化學穩定性、耐摩擦性能研究——結果與討論、結論
> 超微量天平應用于高阻燃輻照交聯低煙無鹵聚烯烴制備
> 生物表面活性劑產生菌的篩選及對PAHs污染環境的修復效果研究(四)
> 動態測量純凈水和硅油、純凈水和乙酸乙酯液體間界面張力
> 表面張力儀用于柔軟抗菌涂層面料研發
> 表面活性劑溶液潤濕性能影響因素與變化
> 氨基改性硅油柔軟劑的表面張力、透水率、分層測試(三)
推薦新聞Info
-
> ?超微量天平在藥物研發中的應用:精確稱量活性成分與標準品
> 超微量天平工作原理,如何為藥物研發實驗室選擇超微量天平?
> 醇醚硫酸鹽泡排劑的耐溫耐鹽性能及分子機理研究
> 利用表/界面張力儀評價醇醚硫酸鹽耐凝析油泡沫排液性能
> mRNA疫苗開發關鍵:脂質納米粒(LNP)表面張力精準調控方案
> PAAS/CA/SSD雙網絡水凝膠制備及表面張力調控研究(三)
> PAAS/CA/SSD雙網絡水凝膠制備及表面張力調控研究(二)
> PAAS/CA/SSD雙網絡水凝膠制備及表面張力調控研究(一)
> 從無序到有序:雙乳液模板如何重塑中空材料合成與電池未來
> 微乳液:以超低界面張力撬動老油田殘余油的核心技術
?2,3-雙八氟戊烷基甘油醚-1-硫酸酯鈉的合成路線、表面張力及乳化性能(三)
來源:精細化工 瀏覽 745 次 發布時間:2025-11-18
2.2表面張力測試
測得不同濃度BOFPGS水溶液的表面張力,結果見圖6。由圖6可知,BOFPGS的臨界膠束濃度CMC為4.16×10-3 mol/L,所對應的最低表面張力為22.70 mN/m。相較于已報道八氟戊醇的表面活性劑(γ=24~29 mN/m),其表面活性具有一定的提升。原因是,在疏水基團中碳氟鏈相同情況下,增加分子中疏水基團的數量使碳氟鏈數目增加,鏈間分子作用力增大,疏水性增強,從而使表面活性得到提升。
圖6 BOFPGS水溶液的表面張力與濃度關系曲線
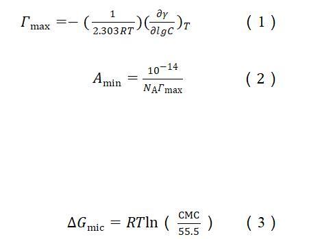
根據表面張力和濃度的關系曲線,使用吉布斯吸附等溫線〔方程(1)〕計算出表面活性劑分子吸附在氣液界面的最大表面過剩濃度(Гmax)。
式中:R為摩爾氣體常數,值為8.314 J/(mol?K);T是熱力學溫度,值為298 K;C為表面活性劑濃度,單位是mol/L;γ是表面活性劑在水溶液的表面張力,單位是mN/m。
每個分子的最小表面積(Amin)可由公式(2)計算得出。
式中:NA為阿伏伽德羅常數,為6.02×1023,Гmax的單位是mol/m2。
臨界膠束濃度時的標準吉布斯自由能由公式(3)計算得出。
根據以上公式,計算出BOFPGS的表面活性數據,結果如表1所示。由表1可知,BOFPGS具有與其他全氟烷基類表面活性劑相當的表面活性。由于BOFPGS分子尾端是HCF2—基團,并不是以全氟碳鏈作為疏水基,使其表面張力比全氟辛酸(POFA)稍高。但BOFPGS具有更低的臨界膠束濃度,這是由于分子結構中有親水醚鍵的存在。
| 表面活性劑 |
CMC (mmol/L) |
γCMC (mN/m) |
Amin (nm2) |
Γmax (10?1? mol/cm2) |
ΔGmic (kJ/mol) |
|---|---|---|---|---|---|
| PFhA | 28.01 | 23.98 | 1.49 | 1.11 | -18.82 |
| PFHA | 19.90 | 22.97 | 0.89 | 1.86 | -19.66 |
| PFOA | 13.51 | 19.98 | 0.76 | 2.18 | -20.63 |
| BOFPGS | 4.16 | 22.70 | 1.63 | 1.02 | -23.54 |
表1.在25℃時全氟辛酸銨(PFhA)、全氟己酸(PFHA)、全氟辛酸(PFOA)和BOFPGS的表面性質
2.3乳化性能
將同等體積的BOFPGS水溶液與液體石蠟混合均勻之后,在50℃恒溫中靜置觀察所形成的乳液析水情況,析水率越小說明乳化能力越強,形成的乳液越穩定。BOFPGS與液體石蠟形成乳液的析水率如圖7所示。從圖7可以看出,乳液隨著靜置時間增加,析水率增大,約在30 min以后乳液達到穩定,析水率趨于平衡。BOFPGS濃度越大乳液越穩定,析水率越低,BOFPGS濃度為0.8×10-3、1.6×10-3和3.2×10-3 mol/L的乳化性能接近,相較于KANG等人合成的短氟鏈陰離子表面活性劑(在表面活性劑質量分數為1%的水溶液中才能表現出穩定的乳化性能),BOFPGS的用量更低,具有更好的乳化性能,可大大降低BOFPGS的使用成本。
圖7不同濃度BOFPGS的乳化能力測試
2.4細胞活性檢測
表面活性劑的毒理性質是評價表面活性劑安全性的重要參數,采用MTT法來測試BOFPGS對細胞活性的影響。將濃度梯度為8.04×10-6 1.6×10-4 mol/L(5~100 mg/L)的BOFPGS加入到96孔板中培養HSF細胞24 h,細胞活性變化情況如圖8所示。從圖8可以看出,HSF細胞在BOFPGS濃度為8.04×10-6 1.6×10-4 mol/L作用下其細胞活性都在90%以上。說明在8.04×10-6 1.6×10-4 mol/L濃度范圍內,BOFPGS對HSF細胞沒有表現出明顯的毒性的,有望作為環保、安全的產品進行使用。
圖8不同濃度BOFPGS時HSF細胞活性
3結論
以八氟戊醇為原料,2,3-二溴丙醇為連接基,氯磺酸為硫酸酯化試劑,通過兩步法合成了與甘油醚結構類似的含兩條氟烷基的陰離子表面活性劑(2,3-雙八氟戊烷基甘油醚-1-硫酸酯鈉)。使用FTIR、NMR和MS對中間產物和目標產物進行了結構表征。其具有兩條較短的氟碳鏈,最低表面張力為22.70 mN/m,臨界膠束濃度CMC為4.16×10-3 mol/L,表現出與典型的碳氟表面活性劑相當的表面活性。其在較低濃度(0.8×10-3 mol/L)的水溶液中仍然具有良好的乳化性能,能夠較大程度地減少氟碳的使用成本。另外,通過細胞毒性測試表明,在8.04×10-6 1.6×10-4 mol/L濃度范圍內,其沒有表現出很高的毒性。該表面活性劑所表現出高表面活性、乳化性能以及很低的細胞毒性,有望作為低毒的氟碳表面活性劑進行使用。





